Ashabul Kahfi dan Relativitas Waktu: Membaca Keajaiban Lewat Kacamata Fisika

Salah satu kisah menakjubkan yang diceritakan dalam Al-Qur’an adalah kisah para pemuda dan seekor anjing yang tertidur di dalam gua selama 300 tahun ditambah 9 tahun, namun tetap hidup. Allah SWT berfirman:
“Dan mereka tinggal dalam gua mereka selama tiga ratus tahun dan ditambah sembilan tahun.” (QS. Al-Kahfi: 25)
Kisah ini menggambarkan betapa agungnya kekuasaan Allah SWT. Jika Allah menghendaki sesuatu, Dia hanya berkata “jadilah”, maka terjadilah. Namun, bagaimana pandangan sains modern memandang fenomena luar biasa ini? Adakah penjelasan ilmiah yang dapat mendekati peristiwa tersebut?
Dalam kisah ini para pemuda merasa hanya tidur satu malam, sementara masyarakat di luar menghitung waktu berlalu selama lebih dari tiga abad. Ini berarti terdapat perbedaan laju waktu antara pemuda dalam gua dan masyarakat luar. Dalam fisika, konsep perbedaan laju waktu atau dilatasi waktu memang dimungkinkan. Setidaknya terdapat dua teori yang menjelaskan fenomena ini: Teori Relativitas Khusus dan Teori Relativitas Umum yang dikembangkan oleh Albert Einstein.
Teori Relativitas Khusus
Pada tahun 1905, Einstein mengubah cara pandang manusia tentang waktu. Sebelumnya waktu dianggap tetap bagi siapa pun, namun relativitas khusus menyatakan bahwa waktu bersifat relatif terhadap kecepatan pengamat. Artinya, waktu yang diukur oleh dua orang dapat berbeda jika mereka bergerak dengan kecepatan yang berbeda.

Semakin cepat seseorang bergerak, semakin lambat waktu berjalan baginya. Dalam kehidupan sehari-hari, perbedaan ini tidak terasa karena kecepatan kita terlalu kecil. Tetapi pada partikel-partikel berkecepatan tinggi, efek dilatasi waktu sangat nyata. Contohnya adalah partikel muon yang memiliki waktu peluruhan sangat singkat, namun ketika bergerak mendekati kecepatan cahaya, waktu hidupnya menjadi jauh lebih lama.
Bagaimana dengan kisah para pemuda di dalam gua? Dalam pandangan relativitas khusus, agar waktu yang mereka rasakan jauh lebih lambat dari waktu di luar, mereka harus bergerak dengan kecepatan yang sangat besar. Menariknya, Al-Qur’an menyebutkan:
“Dan kamu mengira mereka itu bangun, padahal mereka tidur; dan Kami bolak-balikkan mereka ke kanan dan ke kiri…” (QS. Al-Kahfi: 18)
Jika ini dianggap sebagai gerak fisik, hitungan menunjukkan bahwa untuk menghasilkan selisih waktu 10 jam (menurut pemuda) dibanding 300 tahun (menurut masyarakat luar), mereka harus bergerak hampir setara dengan kecepatan cahaya. Perhitungan sederhana menunjukkan kecepatan sekitar 299.792.457,99 m/s, hanya berbeda 0,01 m/s dari kecepatan cahaya. Dengan ukuran gua yang kecil, gerakan mereka harus terjadi jutaan kali per detik, sesuatu yang bagi manusia akan tampak sangat menakutkan. Hal ini selaras dengan ayat:
“…Jika kamu menyaksikan mereka, tentulah kamu akan berpaling dari mereka dengan melarikan diri dan pasti kamu akan dipenuhi oleh ketakutan terhadap mereka.” (QS. Al-Kahfi: 18)
Teori Relativitas Umum
Pada tahun 1915, Einstein memperluas teorinya dengan relativitas umum. Teori ini menyatakan bahwa massa membengkokkan ruang dan waktu di sekitarnya. Gravitasi bukan lagi gaya tarik-menarik murni, melainkan akibat kelengkungan ruang-waktu. Teori ini telah dibuktikan melalui pembelokan cahaya oleh matahari (Eddington, 1919), deteksi gelombang gravitasi (2015), dan citra lubang hitam pertama (2017).

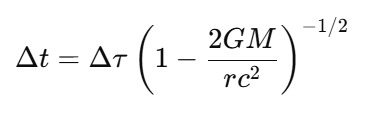
Medan gravitasi yang kuat juga menyebabkan waktu berjalan lebih lambat. Jika peristiwa para pemuda dilihat dari perspektif relativitas umum, maka waktu mereka bisa berjalan lebih lambat jika berada dekat benda yang sangat massif. Dengan memperkirakan selisih waktu dan jarak dalam gua, massa benda ini diperkirakan sekitar 1,3 × 10^27 kg, atau sekitar 22,5 kali massa bumi, massa yang cukup untuk menjadi sebuah black hole kecil.
Namun, jika benar ada black hole dalam gua, para pemuda seharusnya tertarik masuk ke dalamnya. Agar tetap stabil, mereka harus bergerak memutari benda tersebut, sebagaimana planet mengitari matahari. Ini berarti dilatasi waktu mereka berasal dari dua hal sekaligus: kecepatan gerak dan medan gravitasi kuat.
Gabungan Relativitas Khusus dan Umum
Ketika kedua efek ini digabungkan, diperoleh nilai yang sedikit lebih rendah: kecepatan sekitar 200 juta m/s dan massa benda sekitar 1,12 × 10^27 kg. Baik kecepatan maupun massa ini sangat besar dan menyiratkan adanya kekuatan luar biasa.
Namun, penggabungan teori ini masih menyisakan satu masalah besar: mereka tidak sendirian. Terdapat seekor anjing yang duduk di pintu gua tanpa bergerak.
“…Dan anjing mereka mengunjurkan kedua lengannya di muka pintu gua…” (QS. Al-Kahfi: 18)
Keberadaan anjing yang tidak bergerak menyulitkan penjelasan ilmiah berdasarkan dua teori relativitas ini. Artinya, peristiwa ini tidak sepenuhnya dapat dipahami melalui teori fisika modern.
Dua teori fisika besar ini hanya memberikan gambaran kecil, sekadar pendekatan tentang kemungkinan mekanisme di balik perbedaan waktu dalam kisah ini. Apakah benar bekerja demikian? Kita tidak tahu. Mungkin di masa depan ada teori fisika lain yang lebih lengkap, atau mungkin ini adalah hal yang berada di luar jangkauan pemahaman manusia.
Peristiwa ini hanyalah salah satu dari sekian banyak tanda-tanda kebesaran Allah SWT.
“Atau kamu mengira bahwa orang-orang yang mendiami gua dan raqim itu termasuk tanda-tanda kekuasaan Kami yang mengherankan?” (QS. Al-Kahfi: 9)
Wallahu A’lam bishshawab.
Kategori
- Masih Kosong
Blogroll
- Masih Kosong